事业单位招聘网_全国事业单位招聘网www.kaosydw.com
不想用小程序做题? 浏览器做题网址: | 微信扫码进小程序 手机刷题 随时备考 | 扫码关注公众号 推送招聘公告 事业编考试试题 事业编备考资料 关注后回复:时政 免费领取下载: 时事政治试题电子版 |
微信公众号 及时获悉最新招考 |
【导读】厚职事业单位招聘网(www.kaosydw.com)提供事业单位招聘公告、岗位表、报名入口、考试时间。>>考试历年试题点此获取。【考试资料用什么?加老师微信号咨询:houzhigongkao】。当前事业单位考试信息详细内容请阅读下文!
比重问题是2021事业单位考试考资料分析的重点内容。因此这么重要的题型一定要拿下。
一、题型判定
如果问题当中出现“占比、份额、比重”等表述,一般认为这个题是比重问题。
常见表述:
1.求A(部分)占B(整体)的比重。
2.在B(整体)中,求A(部分)所占的比重。
基本公式:
增长贡献率和利润率也是属于比重问题:
增长贡献率=部分增长量/整体增长量
利润率=利润/收入
比重问题主要涉及的考点有现期比重、基期比重和两期比重问题。这三种题型中考的比较多的是现期比重。
二、现期比重
题目特征:题干中出现“占……比重”,时间与材料所给时间一致。
公式:
比重=部分/整体
整体=部分/比重
部分=整体×比重
解题思路:找部分、整体及占比三量中的已知量,利用公式结合选项直接求解。
【2018公考】2016年“一带一路”沿线64个国家GDP之和约为12.0万亿美元,占全球GDP的16.0%;人口总数约为32.1亿人,占全球总人口的43.4%;对外贸易总额(进口额+出口额)约为71885.6亿美元,占全球贸易总额的21.7%。
2016年全球贸易总额约为多少万亿美元( )
A.28
C.40
B.33
D.75
【解析】B。问2016年全球贸易总额,材料给出“….占全球贸易总额的21.7%”,本题为现期比重。已知对外贸易总额约为71885.6亿美元,占全球贸易总额的21.7%”,则2016年全球贸易总额=对外贸易总额÷21.7%=71885÷21.7%=33万亿美元。
三、基期比重
题目特征:已知部分的现期量和增长率,以及整体的现期量和增长率,求基期比重。

部分基期量除以整体基期量就是基期比重。
公式:
公式推导过程:
解题思路:如果整体和部分的同比增长率相差较小,10个百分点以内,而且选项差距较大,可以直接用现期比重来衡量基期比重。反之直接套用公式截位直除计算。
【2012北京】2011年8月份,社会消费品零售总额14705亿元,同比增长17.0%。按经营单位所在地分,城镇消费品零售额12783亿元,同比增长17.1%;乡村消费品零售额1922亿元,增长16.4%。
2010年8月城镇消费品零售额占社会消费品零售总额的( )
A.76% B.87% C.92% D.82%
【解析】B。由于部分的增长率与整体的增长率相差很小,故基期比重约等于现期比重。所求为
因此B项当选。
此题我们发现,1+17.0%与1+17.1%非常接近,于是后半部分约等于1,只需算前半部分就可以了。
四、两期比重
题目特征:题干中出现“占……比重”以及两个时间。比如2019年A占B的比重与2018年相比上升还是下降。
公式:
公式推导过程:
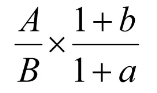
两期比重差=现期比重-基期比重=现期部分值/现期整体值-基期部分值/基期整体值
A是现期部分值,B是现期整体值;a是现期部分增长率,b是现期整体增长率。
解题思路:
题干如果只是让我们判断比重上升还是下降,那就找部分量及整体量增长率,直接比大小即可,其中增长率比较大小时需要带上正负号进行比较。
a > b,部分增长率 > 整体增长率,比重上升。
a < b,部分增长率 < 整体增长率,比重下降。
a=b,部分增长率=整体增长率,比重不变。
若题干中不仅需要判断比重的升降,还进一步问具体变化了几个百分点,大胆选小于|a-b|绝对值的选项。若选项有多个在这个范围之内,则需要进一步计算。
【2019公考】2017年,全省全年完成快递业务量100.51亿件,同比增长31.0%。其中,同城快递业务量增长29.3%,异地快递业务量增长33.0%,国际和港澳台地区快递业务量增长33.1%。
2017年A省快递业务中,业务量占总业务量比重高于上年水平的分类是( )
A.仅国际和港澳台地区快递
B.异地快递、国际和港澳台地区快递
C.仅同城快递
D.同城快递、异地快递
【解析】B。问…占…比重高于上年水平的分类,判断本题为两期比重比较。已知2017年,全省全年完成快递业务量同比增长31.0%。若业务量的增长率(a)大于总业务量的增长率(b),即大于31.0%,满足比重高于上年。观察可得异地快递业务量(a=33.0%)和国际和港澳台地区快递业务量(a=33.1%)满足。
【2018山东】2016 年J省规模以上工业取水量为86.4亿立方米,比上年增长4.4% 。其中直接采自江、河、淡水湖、水库等的地表淡水 68.1 亿立方米 ,比上年增长 3.8% 所占比重比上年下降 0.4 个百分点;自来水取水量15.9 亿立方米,同比增长6.0% 。
J省2016年规模以上工业自来水取水量占总取水量的比重比上年( )
A.提高 0.3 个百分点
B.下降 0.3 个百分点
C.提高 4 个百分点
D.下降 4 个百分点
【解析】A。本题为两期比重差值计算问题。
2016年J省规模以上工业取水量为86.4亿立方米,增长率为4.4%;自来水取水量15.9亿立方米,增长率为6.0%。由两期比重结论可知:由于6%>4%,故比重应为提高,排除B、D;
两期比重差值=
个百分点,只有A选项满足。故正确答案为A。
| 事业单位考试资料下载 PDF电子版 >>查看更多 | |||
![]() | ![]() | ![]() | ![]() |
参加事业编考试必看:
1、更多事业单位招聘信息访问事业单位招聘网(www.kaosydw.com)
2、点击查看:2022年全国事业单位考试时间
3、点击查看:全国各省事业单位考试科目/考试内容
4、点击查看:2023全国事业单位招聘公告汇总
5、推荐:社区工作者考试网(sq.chinasydw.cn)
6、推荐:山东事业单位招聘网(sd.chinasydw.cn)
7、推荐:北京事业单位招聘网(bj.chinasydw.cn)
8、推荐:江苏事业单位招聘网(js.chinasydw.cn)
9、厚职事业单位招聘网提供的以上信息仅供参考,如有疑义,请考生以权威部门公布的内容为准!
第一时间推送:
全国招聘招考信息
技巧、试卷、资料
公众号名称:厚职事考招聘信息
扫码关注,接收每日推送和资源礼包